Nachdem kürzlich bereits die Spezifikationen der Leica M11 Monochrom aufgetaucht sind, konnte LeicaRumors nun bereits Fotos der Messsucher-Kamera mit Vollformat-Schwarzweiß-Sensor veröffentlichen. Die Kamera soll noch im Laufe dieser Woche offiziell vorgestellt werden.
Im Vergleich zur regulären Leica M11 (ca. 9.900 Euro auf Amazon) verzichtet Leica nicht nur auf das rote Logo auf der Vorderseite, sondern auch auf das rote "A" für den Automatik-Modus auf den Einstellrädern für die Belichtungszeit und die ISO-Lichtempfindlichkeit des Sensors. Der "Monochrom"-Schriftzug wird dezent auf der Oberseite ins Gehäuse graviert. Sowohl der Auslöser als auch der Button zum Wechseln des Objektivs werden Schwarz gefärbt.
Gemeinsam mit der Leica M11 Monochrom soll Leica eine neue Version des Summilux-M 1.4/50 ASPH. vorstellen. Das 50 mm f/1.4 Objektiv erhält nach 19 Jahren ein brandneues Design, elf statt neun Blendenlamellen für schöneres Bokeh und die Option, auf Objekte in einer Distanz von 45 Zentimetern zu fokussieren, statt der 70 Zentimeter des älteren Modells. Laut dem Promo-Bild ist das neue Objektiv ähnlich groß wie das aktuelle Summilux-M 1.4/35 ASPH., womit das neue 50er rund 6 Millimeter kürzer, aber auch etwas dicker wird.
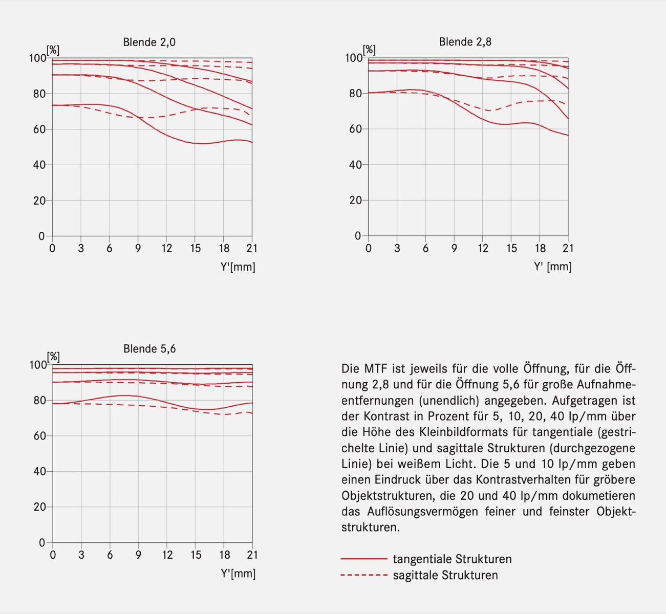
Die Streulichtblende ist weiterhin ausziehbar. Die Abbildungsleistung soll verbessert werden, wie die unten eingebetteten MTF-Kurven deutlich zeigen, handelt es sich beim neuen Summilux aber nur um eine Optimierung des Designs aus dem Jahr 2004, nicht um eine völlig neue Optik. An die Qualität des APO-Summicron-M 2/50 ASPH. reicht das Objektiv damit nicht heran, mit einem Preis von rund 4.200 Euro ist das Summilux aber auch deutlich günstiger.



















