Mandler 35 mm f/2 belebt legendäres Leica-Objektiv wieder, verspricht 138g leichtes Metallgehäuse zum günstigen Preis

Das Leica Summicron-M 35 mm f/2 Typ 4, das auch als "King of Bokeh" bekannt ist, kostet selbst gebraucht noch weit über 1.000 Euro, in gutem Zustand verlangen einige Händler über 2.000 Euro für das Objektiv, das von Leica in den Jahren 1979 bis 1996 hergestellt wurde.
Das Objektiv vom damaligen Leica Optik-Konstrukteur Walter Mandler hat aufgrund des ungewöhnlichen Looks der Bilder, die es produziert, nach wie vor eine Fangemeinde. Ein chinesisches Unternehmen hat dieses Objektiv nun kurzerhand kopiert, vom Gehäuse-Design bis zum optischen Aufbau soll diese neue Version sehr nah am Original sein – nur dass der Nachbau wesentlich günstiger angeboten wird. Trotz geringerem Preis besteht das Gehäuse aus Aluminium. Das Objektiv ist nur 3,4 Zentimeter lang und bringt 138 Gramm auf die Waage, wobei auch eine Messing-Version angeboten wird, die 210 Gramm wiegt.
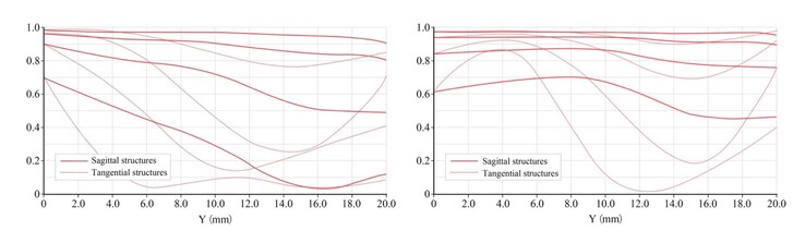
Die Konstruktion aus sieben Linsen in fünf Gruppen wurde ein wenig modernisiert, um in Verbindung mit digitalen Sensoren eine bessere Bildqualität zu erzielen. Wie die MTF-Kurven des Herstellers aber zeigen, weist das Objektiv wie das Original ein stark gekrümmtes Fokus-Feld auf, sodass die Bildmitte und die Ecken schärfer abgebildet werden als der Bereich dazwischen. Besonders scharf ist das Objektiv bei Offenblende aber nicht einmal in der Bildmitte.
Preise und Verfügbarkeit
Das Mandler 35 mm f/2.0 "7 Elements" Vollformat-Objektiv ist ab sofort im Onlineshop des Herstellers erhältlich, wahlweise mit Leica M-Bajonett für 348 US-Dollar, oder mit LTM-Schraubgewinde für 378 US-Dollar. Die Version in Silber kostet 30 US-Dollar extra, und auch Zubehör-Pakete inklusive Streulichtblende werden gegen Aufpreis angeboten. Die Leica-M-Version ist aktuell ausverkauft, soll im März aber wieder verfügbar sein. Der Versand aus China ist kostenlos, die Preise verstehen sich aber zuzüglich Einfuhrumsatzsteuer und Zoll.
















