Test Huawei P30 Lite New Edition Smartphone – Speicher-Oberklasse

Die Luft wird dünner für Huawei: Aufgrund des Handelsstreits mit den USA können die Chinesen derzeit keine neuen Smartphones für Android zertifizieren und behelfen sich mit älteren Geräten, die sie teils unter neuem Namen herausbringen. Beim Huawei P30 Lite hängt der Hersteller für das Jahr 2020 einfach die Bezeichnung "New Edition" an, um das Upgrade des Smartphones anzupreisen.
Dabei muss sich der Hersteller einiges einfallen lassen, denn zu weit darf das Handydesign nicht abweichen. Ein Speicherupgrade ist eine Möglichkeit und Huawei lässt sich hier nicht lumpen. Die Frontkamera erhält außerdem ein paar Megapixel mehr. Mit der Kamera waren wir schon beim Vorgängermodell recht zufrieden, Verarbeitung und Design gefielen ebenfalls. Vielleicht ist es also gar nicht so schlimm, dass das 2020er-Modell nicht so viele Änderungen bringt und mit seiner üppigen Speicherausstattung hat es ohnehin ein Ass im Ärmel. Schauen wir uns das Huawei P30 Lite New Edition mal im Detail an.
Vergleichsgeräte
Bew. | Datum | Modell | Gewicht | Laufwerk | Größe | Auflösung | Preis ab |
|---|---|---|---|---|---|---|---|
| 79 % v7 (old) | 01 / 2020 | Huawei P30 Lite New Edition Kirin 710, Mali-G51 MP4 | 159 g | 256 GB UFS 2.1 Flash | 6.15" | 2312x1080 | |
| 79.8 % v7 (old) | 01 / 2020 | Samsung Galaxy A51 Exynos 9611, Mali-G72 MP3 | 172 g | 128 GB UFS 2.0 Flash | 6.50" | 2400x1080 | |
| 78.3 % v7 (old) | 05 / 2019 | Huawei P30 Lite Kirin 710, Mali-G51 MP4 | 159 g | 128 GB eMMC Flash | 6.15" | 2312x1080 | |
| 81.6 % v7 (old) | 07 / 2019 | Xiaomi Mi 9T SD 730, Adreno 618 | 191 g | 64 GB UFS 2.0 Flash | 6.39" | 2340x1080 | |
| 80.2 % v7 (old) | 07 / 2019 | Google Pixel 3a SD 670, Adreno 616 | 147 g | 64 GB eMMC Flash | 5.60" | 2220x1080 |
Gehäuse – Vom letzten Jahr, aber modern
Für das Gehäuse des P30 Lite New Edition gibt es eine neue Farbvariante: Neben den bekannten Varianten in Blau mit Farbverlauf und reinem Schwarz gibt es noch eine etwas hellere Variante genannt "Breathing Crystal". Eine weiße Rückseite ist ebenfalls verfügbar, die angebotenen Farbvarianten können je nach Land variieren. Mit 159 Gramm zählt das P30 Lite New Edition wie sein Vorgänger zu den leichteren Smartphones dieser Preisklasse. Die Abmessungen sind normal für ein aktuelles Smartphone, damit aber auch für kleine Hände vielleicht etwas zu groß.
An der Front gibt es weiterhin eine Waterdrop-Notch und einen schmalen Rahmen um das Display. Die Kamera an der Rückseite schaut weiterhin recht deutlich aus dem Gehäuse heraus und bringt deshalb das Smartphone zum Wackeln, wenn es auf dem Tisch liegt und man auf den Touchscreen tippt.
Das Gerät ist gut verarbeitet, Druck auf die Front kommt allerdings zum Bildschirm durch. Das P30 Lite New Edition liegt ordentlich in der Hand, eine IP-Zertifizierung zum Schutz gegen Umwelteinflüsse gibt es allerdings nicht.
Ausstattung – Speicher überall
Mit 6 GB RAM und 256 GB Massenspeicher ist das P30 Lite New Edition außergewöhnlich für seine Preisklasse, zumal Huawei für die Datensicherung schnellen UFS-2.1-Speicher wählt, statt des sonst üblichen eMMC- oder UFS-2.0-Speichers. Zusätzlich gibt es noch einen microSD-Kartenleser, der allerdings bei Benutzung einen der beiden SIM-Slots belegt.
Bluetooth ist weiterhin nur in der Variante 4.2 enthalten, dank NFC kann man Google Pay nutzen oder sich mit nahen Geräten austauschen. Ein moderner USB-C-Anschluss ist vorhanden, allerdings intern nur mit USB-2.0-Geschwindigkeit angebunden, sodass die Übertragung von großen Datenmengen etwas länger dauert.
Software – Noch Android 9 auf der New Edition
Das Huawei P30 New Edition basiert weiterhin auf Android 9, für das P30 Lite gibt es aber seit November schon ein Update auf Android 10, sodass auch für das P30 Lite New Edition die neueste Version des Betriebssystem zusammen mit EMUI 10 erwartet werden kann. Schön wäre gewesen, wenn Huawei das Smartphone gleich mit Android 10 herausbringt, aber eventuell war das aufgrund der Handelsbeschränkungen nicht möglich.
Die Sicherheitspatches stammen auf unserem Testgerät von Oktober 2019 und sind damit zum Zeitpunkt unseres Huawei-Reviews schon veraltet.
Der Hersteller installiert einiges an eigenen Tools und die Oberfläche EMUI ist leicht unterschiedlich zu Standard-Android, aber ebenfalls recht intuitiv zu bedienen. Drittanbieter-Apps gibt es nur sehr wenige und sie lassen sich einfach deinstallieren, wenn man sie nicht möchte.
Kommunikation und GPS – Lahmes WLAN
Eine Schwäche des P30 Lite war die geringe WLAN-Geschwindigkeit, obwohl nominell WiFi 5 vorhanden ist. Daran hat sich auch bei der New Edition leider nichts geändert: Sie erreicht recht ähnliche Werte wie der Vorgänger in unserem Test mit dem Referenzrouter Linksys Nighthawk AX12 und kann sich damit nur am Ende der Vergleichstabelle platzieren. Das ist schade und ärgerlich, hier hätte Huawei bei der Neuauflage punkten können.
In Sachen LTE gibt es weiterhin Cat. 12 im Download und damit bis zu 600 MBit/s, was für ein Mittelklassegerät absolut OK ist. Der Empfang gefällt uns gut: Im städtischen Umfeld hatten wir sowohl bei einem Spaziergang, als auch in Gebäuden im ordentlich ausgebauten Vodafone-Netz meist gute Empfangswerte.
| Networking | |
| iperf3 transmit AX12 | |
| Google Pixel 3a | |
| Samsung Galaxy A51 | |
| Xiaomi Mi 9T | |
| Huawei P30 Lite New Edition | |
| Huawei P30 Lite | |
| iperf3 receive AX12 | |
| Google Pixel 3a | |
| Xiaomi Mi 9T | |
| Samsung Galaxy A51 | |
| Huawei P30 Lite New Edition | |
| Huawei P30 Lite | |
Selbst in Gebäuden kann uns das GPS-Modul sehr grob orten. Auf Google Maps stimmt die Ortung auf ungefähr 10 Meter genau, wenn wir uns in Gebäuden befinden, der Kompass funktioniert hier recht exakt. Im Freien schwankt die Genauigkeit anfangs, pendelt sich dann aber recht schnell auf 4 Meter ein, was ein guter Wert für die Genauigkeit ist.
Das GPS-Modul muss sich auch in der Praxis beweisen, dafür nehmen wir das Smartphone mit auf eine Tour, bei der auch das Profi-Navi Garmin Edge 520 mitkommt. Das P30 Lite New Edition liefert hier gemischte Ergebnisse: Auf der Brücke schweben wir scheinbar übers Wasser, in anderen Bereichen durch Gebäude, die Genauigkeit ist beim Garmin Edge 520 auch nicht perfekt, aber deutlich höher.
Das P30 Lite New Edition können wir also für die Navigation empfehlen, wenn absolute Exaktheit nicht so wichtig ist. Für den Alltag sollte die Genauigkeit ausreichen.
Telefonfunktionen und Sprachqualität – Gut und klar
Huawei nutzt nicht Googles Standard-App, sondern eine Eigenentwicklung für die Telefonie. Diese ist übersichtlich und stellt das Tastenfeld in den Mittelpunkt.
VoLTE oder Anrufe per WLAN kann das Huawei P30 Lite New Edition nutzen.
Die Sprachqualität bei Anrufen ist gut, wir hören das Gegenüber klar ohne Dröhnen oder störende Nebengeräusche. Ebenso wird unsere Stimme recht klar übertragen, selbst wenn wir etwas leiser sprechen. Das gilt allerdings nur, solange wir den Ohrhörer nutzen und nahe am eingebauten Mikrofon sind, im Freisprechmodus müssen wir lauter sprechen, damit das Mikrofon unsere Stimme aufzeichnet. Das Gegenüber wird hier aber ebenfalls recht klar wiedergegeben.
Kameras – Solide Mittelklasse-Linsen
Die Kameraobjektive an der Rückseite bieten dieselben Specs wie beim ursprünglichen P30 Lite: 48 Megapixel für die Standardlinse und 8 Megapixel für das Weitwinkelobjektiv. Beide werden unterstützt von einer Tiefenschärfekamera mit 2 Megapixel. Das Bokeh, also der künsstliche Unschärfe-Effekt auf dem Hintergrund, ist nach wie vor eine wechselhafte Sache: Mal funktioniert es recht gut, in anderen Situationen hatten wir grobe Ungenauigkeiten zu verzeichnen.
Die hohe Auflösung der Hauptkamera kann man auf Wunsch tatsächlich vollständig nutzen, standardmäßig wird sie aber genutzt, um 12-Megapixel-Aufnahmen zu erstellen. Welchen Sinn das hat? Neben dem Marketingeffekt einer höher auflösenden Kamera soll durch die Zusammenfassung von jeweils vier Bildpunkten eine höhere Lichtausbeute erreicht werden. Erfreulich ist, dass die hohe Kameraauflösung in keinem Modus zu längeren Berechnungszeiten führt, im Gegenteil, die Kamera reagiert recht flott.
Unter normalen Lichtbedingungen gefällt uns die Bildqualität der Hauptkamera gut, die Farbwiedergabe natürlich. Sie bietet insgesamt auch eine gute Dynamik und ist auch in dunkleren Lichtverhältnissen nicht gleich völlig überfordert.
Videos lassen sich nur in 1080p mit 30 fps aufzeichnen, obwohl die Kamera natürlich aufgrund der hohen Auflösung die Fähigkeit für 4K hätte. In den Videos kann man tatsächlich weiterhin den Zoom verwenden, die Software ist also deutlich flexibler als beispielsweise beim Galaxy A51, wo man vor der Aufnahme ein Objektiv auswählen muss und dann während des Drehs nicht mehr wechseln kann. Die Bildqualität ist mit dem Hauptobjektiv auch hier ordentlich, Belichtungskorrekturen werden recht schnell und passend vorgenommen.
Das Weitwinkelobjektiv macht durch die geringere Lichtstärke auch deutlich dunklere Aufnahmen, der Unterschied ist beim manuellen Zoomen deutlich sichtbar. Das Zoomen funktioniert immerhin in sehr kleinen Stufen.
An der Front sitzt eine neue 32-Megapixel-Kamera. Sie überzeugt durch eine detailreiche Darstellung, hat aber in dunklen Bereichen Probleme mit der Dynamik.
Bildervergleich
Wählen Sie eine Szene und navigieren Sie im ersten Bild. Ein Klick ändert die Position bei Touchscreens. Ein Klick auf die vergrößerten Bilder öffnet das Original in einem neuen Fenster. Das erste Bild zeigt das skalierte Foto, welches mit dem Testgerät aufgenommen wurde.
Szene 1Szene 2Szene 3Im Labor überzeugt die Hauptkamera durch ordentliche Bildschärfe, das Testbild wirkt aber gleichzeitig in einigen Randbereichen seltsam blass. Zoomt man hinein, kann man auch Artefakte an den Objekträndern ausmachen, hier zeigt sich die Kamera also im Detail nur auf Mittelklasse-Niveau.


Zubehör und Garantie – Schnellladegerät an Bord
Am Zubehör hat sich im Vergleich zum P30 Lite nichts geändert: Der Hersteller legt weiterhin ein Schnellladegerät bis 20 Watt bei, ein USB-C-Kabel, ein SIM-Tool und ein kabelgebundenes Headset. Aufgrund der gleichen Abmessungen kann man Hüllen für das P30 Lite weiterhin verwenden.
24 Monate Garantie bietet der Hersteller für sein Smartphone.
Eingabegeräte & Bedienung – Fingerabdrucksensor im P30 Lite New Edition
Der Touchscreen des Huawei-Handys lässt sich gut bedienen, die Menüsteuerung kann entweder per On-Screen-Tasten oder auch per Gestensteuerung erfolgen.
An der Rückseite findet sich ein sehr exakter Fingerabdruck-Sensor, der das Smartphone sehr flott entsperrt. Gesichtserkennung als Entsperrmaßnahme ist ebenfalls verfügbar. Man kann das Smartphone so einstellen, dass es beim Aufrichten sofort die Gesichtserkennung aktiviert, das ist am komfortabelsten. Um ungewolltes Entsperren zu vermeiden, kann man auch die Option aktivieren, dass man zuerst das Gerät per Tastendruck aus dem Standby aufwecken muss. Die Erkennung erfolgt recht zuverlässig und lässt sich auch nicht so einfach überlisten.
Display – Ordentlicher IPS-Screen
Wer auf ein AMOLED-Display hofft, der wird enttäuscht: Anders als beispielsweise das Samsung Galaxy A51 oder das Xiaomi Mi 9T verbaut Huawei einen IPS-Screen. Dadurch wirken Farben tendenziell nicht ganz so kräftig und die Schwarzwerte sind weniger perfekt. Dennoch muss ein IPS-Display nicht per se schlechter sein als ein AMOLED.
Die Helligkeit ist ordentlich, mit 481 cd/m² im Durchschnitt sollte man für viele Situationen gut gewappnet sein. Die Helligkeitsverteilung ist allerdings nicht so gleichmäßig wie bei vielen anderen Geräten, mit bloßem Auge erkennt man aber allenfalls minimale Helligkeitsunterschiede.
| |||||||||||||||||||||||||
Ausleuchtung: 88 %
Helligkeit Akku: 507 cd/m²
Kontrast: 1334:1 (Schwarzwert: 0.38 cd/m²)
ΔE ColorChecker Calman: 4.72 | ∀{0.5-29.43 Ø4.74}
ΔE Greyscale Calman: 5.5 | ∀{0.09-98 Ø4.99}
99.9% sRGB (Calman 2D)
Gamma: 2.158
CCT: 7596 K
| Huawei P30 Lite New Edition IPS, 2312x1080, 6.2" | Samsung Galaxy A51 AMOLED, 2400x1080, 6.5" | Huawei P30 Lite IPS LCD, 2312x1080, 6.2" | Xiaomi Mi 9T AMOLED, 2340x1080, 6.4" | Google Pixel 3a P-OLED, 2220x1080, 5.6" | |
|---|---|---|---|---|---|
| Bildschirm | 24% | 8% | 34% | -2% | |
| Helligkeit Bildmitte (cd/m²) | 507 | 589 16% | 451 -11% | 589 16% | 403 -21% |
| Brightness (cd/m²) | 481 | 589 22% | 430 -11% | 589 22% | 411 -15% |
| Brightness Distribution (%) | 88 | 94 7% | 90 2% | 96 9% | 96 9% |
| Schwarzwert * (cd/m²) | 0.38 | 0.55 -45% | |||
| Kontrast (:1) | 1334 | 820 -39% | |||
| Delta E Colorchecker * | 4.72 | 2.22 53% | 1.4 70% | 2.5 47% | 5.1 -8% |
| Colorchecker dE 2000 max. * | 7.84 | 8.24 -5% | 4.4 44% | 4.9 37% | 11 -40% |
| Delta E Graustufen * | 5.5 | 2.6 53% | 2.5 55% | 1.6 71% | 2 64% |
| Gamma | 2.158 102% | 2.111 104% | 2.22 99% | 2.24 98% | 2.22 99% |
| CCT | 7596 86% | 6508 100% | 6422 101% | 6544 99% | 6589 99% |
* ... kleinere Werte sind besser
Bildschirm-Flackern / PWM (Pulse-Width Modulation)
| Flackern / PWM festgestellt | 893 Hz | ≤ 10 % Helligkeit | |
Das Display flackert mit 893 Hz (im schlimmsten Fall, eventuell durch Pulsweitenmodulation PWM) bei einer eingestellten Helligkeit von 10 % und darunter. Darüber sollte es zu keinem Flackern kommen. Die Frequenz von 893 Hz ist sehr hoch und sollte daher auch bei empfindlichen Personen zu keinen Problemen führen. Im Vergleich: 53 % aller getesteten Geräte nutzten kein PWM um die Helligkeit zu reduzieren. Wenn PWM eingesetzt wurde, dann bei einer Frequenz von durchschnittlich 7920 (Minimum 5, Maximum 343500) Hz. | |||
Der Schwarzwert ist mit 0,38 cd/m² noch OK, ein leichter Grauschleier liegt aber über schwarzen Bildern auf dem Bildschirm. Der Kontrast ist mit 1.334:1 ebenfalls zufriedenstellend. Bei der Farbdarstellung liegt das Huawei P30 Lite New Edition eher im Mittelfeld, allerdings messen wir auch im voreingestellten Modus "Lebhaft", der Test des P30 Lite hat gezeigt, dass der Modus "Normal" realitätsnähere Farben liefert. Dennoch ist das P30 Lite New Edition nicht schlecht und bildet Farben in allen mit dem Spektralfotometer und der Software CalMAN vermessenen Einstellungen einigermaßen realistisch ab.
Interessant ist, dass der Blaustich in unseren Messungen diesmal deutlich geringer ausfällt als beim P30 Lite im selben Modus, hier hat Huawei also scheinbar ein wenig nachgebessert.
Reaktionszeiten (Response Times) des Displays
| ↔ Reaktionszeiten Schwarz zu Weiß | ||
|---|---|---|
| 24 ms ... steigend ↗ und fallend ↘ kombiniert | ↗ 9 ms steigend | |
| ↘ 15 ms fallend | ||
| Die gemessenen Reaktionszeiten sind gut, für anspruchsvolle Spieler könnten der Bildschirm jedoch zu langsam sein. Im Vergleich rangierten die bei uns getesteten Geräte von 0.1 (Minimum) zu 240 (Maximum) ms. » 54 % aller Screens waren schneller als der getestete. Daher sind die gemessenen Reaktionszeiten schlechter als der Durchschnitt aller vermessenen Geräte (20 ms). | ||
| ↔ Reaktionszeiten 50% Grau zu 80% Grau | ||
| 44 ms ... steigend ↗ und fallend ↘ kombiniert | ↗ 21 ms steigend | |
| ↘ 23 ms fallend | ||
| Die gemessenen Reaktionszeiten sind langsam und dadurch für viele Spieler wahrscheinlich zu langsam. Im Vergleich rangierten die bei uns getesteten Geräte von 0.165 (Minimum) zu 636 (Maximum) ms. » 73 % aller Screens waren schneller als der getestete. Daher sind die gemessenen Reaktionszeiten schlechter als der Durchschnitt aller vermessenen Geräte (31.3 ms). | ||
Leistung – Da hätte es gerne mehr sein dürfen
Das SoC ist das gleiche wie beim Huawei P30 Lite geblieben: Ein HiSilicon Kirin 710 mit 8 Kernen und maximal 2,2 GHz Taktung. Schon beim Vorgänger haben wir kritisiert, dass der Prozessor nicht immer genug Leistung bereitstellen kann, um Mikroruckler und Verzögerungen beim Multi-Tasking zu vermeiden. Das ist ärgerlich, denn andere Smartphones der Preisklasse wirken hier deutlich souveräner. In unseren Benchmarks ordnet sich das Smartphone zwar im mittleren Bereich ein, was die Systemleistung angeht, dennoch hätte ein moderneres und flotteres SoC dem Smartphone gut getan.
Die Grafikeinheit ist ein noch größeres Problem: Die ARM Mali-G51 MP4 bringt in den Grafikbenchmarks teils deutlich weniger Frames zusammen als die Konkurrenz, vor allem das Xiaomi Mi 9T sticht hier mit hoher Leistung heraus.
Man kann nicht sagen, dass man mit dem Huawei P30 Lite New Edition besonders schnell im Internet surft für seine Klasse, aber immerhin schafft das Gerät einen Platz im Mittelfeld unter den Vergleichsgeräten.
| Jetstream 2 - 2.0 Total Score | |
| Durchschnitt der Klasse Smartphone (59.7 - 423, n=124, der letzten 2 Jahre) | |
| Xiaomi Mi 9T (Chrome 75.0.3770.101) | |
| Google Pixel 3a | |
| Huawei P30 Lite (Chrome 74) | |
| Durchschnittliche HiSilicon Kirin 710 (30 - 33, n=8) | |
| Huawei P30 Lite New Edition (Chrome 79) | |
| Samsung Galaxy A51 (Chrome 79) | |
| JetStream 1.1 - Total Score | |
| Xiaomi Mi 9T (Chrome 75.0.3770.101) | |
| Huawei P30 Lite (Chrome 74) | |
| Samsung Galaxy A51 (Chrome 79) | |
| Huawei P30 Lite New Edition (Chrome 79) | |
| Durchschnittliche HiSilicon Kirin 710 (47 - 55.1, n=10) | |
| Speedometer 2.0 - Result 2.0 | |
| Durchschnitt der Klasse Smartphone (49.3 - 733, n=96, der letzten 2 Jahre) | |
| Xiaomi Mi 9T (Chrome 75.0.3770.101) | |
| Durchschnittliche HiSilicon Kirin 710 (30.4 - 33.9, n=6) | |
| Huawei P30 Lite (Chrome 74) | |
| Huawei P30 Lite New Edition (Chrome 79) | |
| Samsung Galaxy A51 (Chrome 79) | |
| WebXPRT 3 - Overall | |
| Durchschnitt der Klasse Smartphone (104 - 380, n=14, der letzten 2 Jahre) | |
| Xiaomi Mi 9T (Chrome 75.0.3770.101) | |
| Huawei P30 Lite (Chrome 74) | |
| Durchschnittliche HiSilicon Kirin 710 (52 - 69, n=11) | |
| Samsung Galaxy A51 (Chrome 79) | |
| Huawei P30 Lite New Edition (Chrome 79) | |
| Octane V2 - Total Score | |
| Durchschnitt der Klasse Smartphone (2800 - 126661, n=162, der letzten 2 Jahre) | |
| Xiaomi Mi 9T (Chrome 75.0.3770.101) | |
| Google Pixel 3a | |
| Samsung Galaxy A51 (Chrome 79) | |
| Huawei P30 Lite (Chrome 74) | |
| Durchschnittliche HiSilicon Kirin 710 (9041 - 10544, n=13) | |
| Huawei P30 Lite New Edition (Chrome 79) | |
| Mozilla Kraken 1.1 - Total | |
| Samsung Galaxy A51 (Chrome 79) | |
| Huawei P30 Lite New Edition (Chrome 79) | |
| Durchschnittliche HiSilicon Kirin 710 (3999 - 4853, n=13) | |
| Huawei P30 Lite (Chrome 74) | |
| Google Pixel 3a | |
| Xiaomi Mi 9T (Chrome 75.0.3770.101) | |
| Durchschnitt der Klasse Smartphone (257 - 28190, n=134, der letzten 2 Jahre) | |
* ... kleinere Werte sind besser
Beim Speicher kann das P30 Lite New Edition endlich seine Trümpfe ausspielen: Sowohl beim Test mit unserer Referenz-microSD-Karte Toshiba Exceria Pro M501, als auch beim Test des internen Speichers bietet das Smartphone sehr flotte Zugriffsraten. Das wirkt sich auf die Startgeschwindigkeit von Apps aus, auf den Datenzugriff beispielsweise in der Bildergalerie und beim Kopieren innerhalb des Systems. Hier beobachten wir, dass das Smartphone tatsächlich recht flott agiert.
| Huawei P30 Lite New Edition | Samsung Galaxy A51 | Huawei P30 Lite | Xiaomi Mi 9T | Google Pixel 3a | Durchschnittliche 256 GB UFS 2.1 Flash | Durchschnitt der Klasse Smartphone | |
|---|---|---|---|---|---|---|---|
| AndroBench 3-5 | -32% | -39% | -41% | -52% | -10% | 176% | |
| Sequential Read 256KB (MB/s) | 800 | 496.1 -38% | 293.2 -63% | 492.7 -38% | 302 -62% | 817 ? 2% | 2162 ? 170% |
| Sequential Write 256KB (MB/s) | 391.1 | 184.9 -53% | 158.6 -59% | 179.2 -54% | 253.9 -35% | 381 ? -3% | 1858 ? 375% |
| Random Read 4KB (MB/s) | 198.7 | 110.8 -44% | 71.6 -64% | 128.6 -35% | 63.6 -68% | 170.8 ? -14% | 298 ? 50% |
| Random Write 4KB (MB/s) | 171.6 | 104.4 -39% | 87.3 -49% | 107.8 -37% | 99.9 -42% | 146.2 ? -15% | 357 ? 108% |
| Sequential Read 256KB SDCard (MB/s) | 76.6 ? | 73 ? -5% | 76.8 ? 0% | 66.8 ? -13% | |||
| Sequential Write 256KB SDCard (MB/s) | 66.8 ? | 60.1 ? -10% | 67.8 ? 1% | 56.3 ? -16% |
Spiele – Nur 30-fps-Gaming bei Huawei
Mit 30 fps kann man aktuelle Games auf dem Huawei P30 Lite New Edition zocken. 60 Hz wie beim Galaxy A51 bekommt man aber nicht zu sehen. Zudem schwankt die Framerate bei anspruchsvolleren Games wie Asphalt 9, allerdings bleibt das Rannspiel einigermaßen flüssig. Die geringere Gaming-Leistung im Vergleich zu anderen Handys der Preisklasse ist bei unserem Huawei Smartphone spürbar.
An der Steuerung per Lagesensor und Touchscreen gibt es nichts auszusetzen, sie funktioniert durchgängig sehr gut.
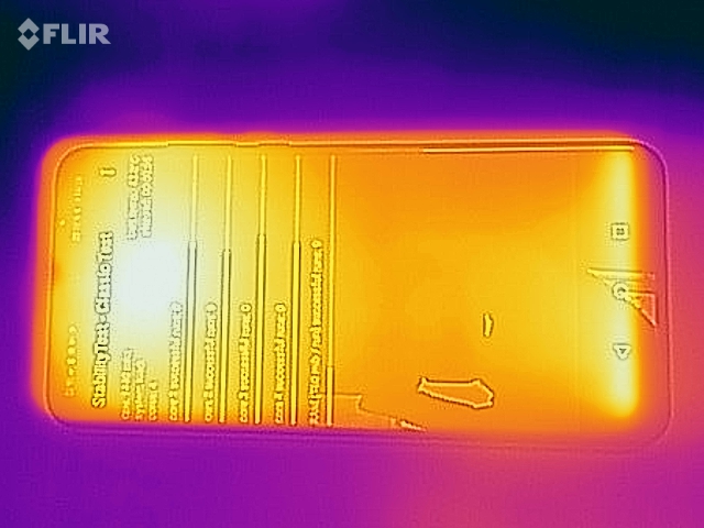
Emissionen – Deutliches Drosseln
Temperatur
Die maximalen Temperaturen unter längerer Last sind noch akzeptabel, allerdings sind manche Stellen schon deutlich spürbar erwärmt, was im Sommer bei heißen Umgebungstemperaturen unangenehm werden kann. Im Idle-Modus ist allenfalls an der Front im unteren Bereich eine leichte Erwärmung zu erfühlen.
Wie schon beim Vorgänger gibt es im Akkutest des GFXBench einen Leistungsabfall um 20 Prozent, nach etwa 17 Durchläufen des anspruchsvollen Manhattan-3.1-Benchmarks. Damit sollte man sich nicht allzu sehr darauf verlassen, dass nach längerer Last noch die volle Leistung zur Verfügung steht.
(±) Die maximale Temperatur auf der Oberseite ist 42.5 °C. Im Vergleich liegt der Klassendurchschnitt bei 35.2 °C (von 21.9 bis 247 °C für die Klasse Smartphone).
(±) Auf der Unterseite messen wir eine maximalen Wert von 43.5 °C (im Vergleich zum Durchschnitt von 34 °C).
(±) Ohne Last messen wir eine durchschnittliche Temperatur von 32.2 °C auf der Oberseite. Der Klassendurchschnitt erreicht 32.9 °C.
Lautsprecher
Der Lautsprecher an der Unterkante des P30 Lite New Edition ist deutlich leiser als beim P30 Lite, dafür verzerrt er aber auch nicht auf maximaler Lautstärke. Mit dem Klang kann man für ein Mittelklasse-Smartphone insgesamt recht zufrieden sein: Es sind tiefe Mitten hörbar, der Klang wirkt ausgewogen und recht warm.
Wer bessere Klangqualität für seine Musik möchte, der schließt einen Kopfhörer per 3,5mm-Anschluss an oder verbindet ein Bluetooth-Gerät. Bluetooth 5 würde hier mehr Reichweite bieten, aber auch mit Bluetooth 4.2 sind stabile Verbindungen möglich und dank aptX-HD-Codec ist auch die Klangqualität ordentlich.
Huawei P30 Lite New Edition Audio Analyse
(±) | Mittelmäßig laut spielende Lautsprecher (80.8 dB)
Bass 100 - 315 Hz
(-) | kaum Bass - 63.4% niedriger als der Median
(+) | lineare Bass-Wiedergabe (0% Delta zum Vorgänger)
Mitteltöne 400 - 2000 Hz
(-) | kaum Mitten, vom Median 63.4% abweichend
(+) | lineare Mitten (0% Delta zum Vorgänger)
Hochtöne 2 - 16 kHz
(-) | kaum Hochtöne, 63.4% geringer als der Median
(+) | sehr lineare Hochtöne (0% Delta zum Vorgänger)
Gesamt im hörbaren Bereich 100 - 16.000 Hz
(-) | hörbarer Bereich ist nur wenig linear (120.2% Abstand zum Median)
Im Vergleich zu allen Geräten derselben Klasse
» 89% aller getesteten Geräte dieser Klasse waren besser, 9% vergleichbar, 2% schlechter
» Das beste Gerät hat einen Delta-Wert von 11%, durchschnittlich ist 35%, das schlechteste Gerät hat 134%
Im Vergleich zu allen Geräten im Test
» 97% aller getesteten Geräte waren besser, 3% vergleichbar, 1% schlechter
» Das beste Gerät hat einen Delta-Wert von 4%, durchschnittlich ist 24%, das schlechteste Gerät hat 134%
Samsung Galaxy A51 Audio Analyse
(±) | Mittelmäßig laut spielende Lautsprecher (81.7 dB)
Bass 100 - 315 Hz
(-) | kaum Bass - 65.7% niedriger als der Median
(+) | lineare Bass-Wiedergabe (0% Delta zum Vorgänger)
Mitteltöne 400 - 2000 Hz
(-) | kaum Mitten, vom Median 65.7% abweichend
(+) | lineare Mitten (0% Delta zum Vorgänger)
Hochtöne 2 - 16 kHz
(-) | kaum Hochtöne, 65.7% geringer als der Median
(+) | sehr lineare Hochtöne (0% Delta zum Vorgänger)
Gesamt im hörbaren Bereich 100 - 16.000 Hz
(-) | hörbarer Bereich ist nur wenig linear (123.1% Abstand zum Median)
Im Vergleich zu allen Geräten derselben Klasse
» 92% aller getesteten Geräte dieser Klasse waren besser, 7% vergleichbar, 1% schlechter
» Das beste Gerät hat einen Delta-Wert von 11%, durchschnittlich ist 35%, das schlechteste Gerät hat 134%
Im Vergleich zu allen Geräten im Test
» 98% aller getesteten Geräte waren besser, 2% vergleichbar, 0% schlechter
» Das beste Gerät hat einen Delta-Wert von 4%, durchschnittlich ist 24%, das schlechteste Gerät hat 134%
Akkulaufzeit – 2 Tage bei sparsamer Nutzung
Energieaufnahme
Im Großen und Ganzen liegen die Energieverbrauchswerte des Huawei P30 Lite New Edition auf ähnlichem Niveau wie beim Vorgänger, kleinere Abweichungen gibt es beispielsweise beim durchschnittlichen Lastverbrauch. Da das P30 Lite aber alles andere als sparsam war, ist das auch kein gutes Urteil für die New Edition: Andere Smartphones dieser Preisklasse sind deutlich energieeffizienter.
| Aus / Standby | |
| Idle | |
| Last |
|
Legende:
min: | |
| Huawei P30 Lite New Edition 3340 mAh | Samsung Galaxy A51 4000 mAh | Huawei P30 Lite 3340 mAh | Xiaomi Mi 9T 4000 mAh | Google Pixel 3a 3000 mAh | Durchschnittliche HiSilicon Kirin 710 | Durchschnitt der Klasse Smartphone | |
|---|---|---|---|---|---|---|---|
| Stromverbrauch | 8% | -4% | 44% | 35% | -6% | -8% | |
| Idle min * (Watt) | 0.95 | 0.9 5% | 0.91 4% | 0.54 43% | 0.61 36% | 1.058 ? -11% | 0.872 ? 8% |
| Idle avg * (Watt) | 2.1 | 1.7 19% | 2.41 -15% | 0.95 55% | 1.56 26% | 2.2 ? -5% | 1.458 ? 31% |
| Idle max * (Watt) | 2.4 | 1.8 25% | 2.43 -1% | 1.08 55% | 1.6 33% | 2.57 ? -7% | 1.646 ? 31% |
| Last avg * (Watt) | 4.2 | 5.2 -24% | 4.57 -9% | 2.7 36% | 2.67 36% | 4.61 ? -10% | 6.75 ? -61% |
| Last max * (Watt) | 7.7 | 6.6 14% | 7.57 2% | 5.4 30% | 4.33 44% | 7.6 ? 1% | 11.3 ? -47% |
* ... kleinere Werte sind besser
Akkulaufzeit
An der Akkukapazität hat sich nichts geändert: Auch das Huawei P30 Lite New Edition bringt einen 3.340-mAh-Akku mit. Dennoch ist es Huawei vermutlich durch Software-Verbesserungen gelungen, die Akkulaufzeiten in unseren Tests um 16 % zu verbessern. Damit liegt das Smartphone immer noch weit hinter dem Xiaomi Mi 9T zurück, was das Durchhaltevermögen angeht, kann sich aber immerhin recht erfolgreich mit dem Galaxy A51 messen, das einen größeren Akku besitzt.
Knapp 12 Stunden Laufzeit in unserem WLAN-Test sind kein Grund für Lobeshymnen, aber doch recht solide und reichen für zwei Arbeitstage mit etwas sparsamerer Nutzung aus. Das Ladegerät mit maximal 20 Watt lädt das Smartphone in knapp 2 Stunden wieder vollständig auf.
| Huawei P30 Lite New Edition 3340 mAh | Samsung Galaxy A51 4000 mAh | Huawei P30 Lite 3340 mAh | Xiaomi Mi 9T 4000 mAh | Google Pixel 3a 3000 mAh | |
|---|---|---|---|---|---|
| Akkulaufzeit | 14% | -16% | 40% | -15% | |
| Idle (h) | 22.7 | 28.2 24% | 20.8 -8% | 35.6 57% | |
| H.264 (h) | 13.4 | 14.1 5% | 11.4 -15% | 20.1 50% | |
| WLAN (h) | 12 | 11.6 -3% | 8.6 -28% | 16.5 38% | 10.2 -15% |
| Last (h) | 3.7 | 4.8 30% | 3.3 -11% | 4.3 16% |
Pro
Contra
Fazit – In der Zwickmühle
Das Huawei P30 Lite New Edition erfindet das Rad nicht neu, sondern ist eine solide Neuauflage, die wohl ein wenig aus der Not heraus geboren ist. Für das bereits vom letzten Jahr bekannte, aber keineswegs altbackene Design entschuldigt sich Huawei mit einer Speicherausstattung, wie man sie für diesen Preis sonst fast nirgends bekommt. Schon der Vorgänger hatte zudem deutliche Qualitäten: Die ordentlichen Kameras sind wieder mit an Bord, dass die Frontkamera mehr Megapixel bietet, fällt im Alltag nicht wirklich auf, ist aber nett. Weiterhin sind die solide Verarbeitung, der gute Fingerabdrucksensor an der Rückseite und das durchaus ordentliche IPS-Panel zu nennen.
Wenig getan hat sich in Sachen Leistung, abgesehen vom flotten Speicher: Das SoC kann das System einigermaßen flüssig darstellen, ist aber insgesamt langsamer als andere Smartphones auf dieser Preisebene. Dass der Prozessor dann unter hoher Last auch noch drosselt, macht die Sache nicht besser. Ärgerlich ist auch das langsame WLAN und die knappe Anzahl an unterstützten LTE-Frequenzen.
Huaweis P30 Lite New Edition täten modernere Komponenten gut, der Hersteller entschädigt dafür mit viel Speicher und einem schicken Design.
Am Bluetooth 4.2 merkt man zudem, dass das Handydesign schon etwas älter ist, wäre der Handelsstreit nicht, hätte Huawei bestimmt modernere Komponenten in sein diesjähriges Mittelklasse-Smartphone eingebaut.
So bleibt unter dem Strich ein solides Mittelklasse-Smartphone, das Fans von viel Speicher sicher zufriedenstellt. Die oben genannten Kritikpunkte sollte man aber vor dem Kauf überdenken.
Huawei P30 Lite New Edition
- 27.01.2020 v7 (old)
Florian Schmitt
























































