Test Lenovo ThinkPad T460p (Core i7, GeForce 940MX) Notebook

Schlank ist in: Nicht nur im Consumer-Segment geht der Trend zu immer dünneren Ultrabooks, auch bei Business Notebooks steht seit Jahren zunehmend die Mobilität im Fokus. Obwohl moderne Low-Voltage-Prozessoren ein durchaus respektables Leistungsniveau erreicht haben, wird diese Entwicklung nicht von jedem Anwender begrüßt – wer regelmäßig mit gut parallelisierter Software arbeitet, wünscht sich oftmals eine leistungsstärkere Quad-Core-CPU.
Für all jene Kunden hat Lenovo das ThinkPad T460p im Programm, welches wir bereits vor einigen Wochen einem ausführlichen Test unterzogen haben. Die Erkenntnisse dieses Artikels wollen wir nun anhand einer zweiten, deutlich besser ausgestatteten High-End-Konfiguration noch ausbauen: Unser nun vorliegendes Testmuster mit der Kennung 20FXS05500 setzt auf einen flotten Core i7-6700HQ, dem 8 GB RAM, 512 GB SSD-Speicher sowie eine dedizierte Nvidia GeForce 940MX zur Seite stehen. Obendrein darf sich der Käufer über ein stattliches IPS-Display mit 2.560 x 1.440 Pixeln freuen, wohingegen im Basismodell nur ein gewöhnliches Full-HD-Panel steckt. All das hat natürlich seinen Preis: Selbst als Campus-Modell (erhältlich nur für Schüler, Studenten und Lehrkräfte) ohne Betriebssystem schlägt das ThinkPad so mit rund 1.400 Euro zu Buche.
Da wir das T460p erst kürzlich umfassend vorgestellt haben, werden wir an dieser Stelle auf eine erneute Untersuchung von Gehäuse, Schnittstellen und Eingabegeräten verzichten. Informationen zu diesen und weiteren Disziplinen können Sie in unserem ersten Testbericht nachlesen, aus dem auch die nachfolgenden Fotos (mit Ausnahme der Bilder von Netzteil und Hardware) stammen.
Display
Wie bereits angesprochen wird das T460p mit zwei verschiedenen Display-Optionen offeriert: Einem Full-HD-Panel mit 1.920 x 1.080 Pixeln (Herstellerangabe: 250 cd/m², Kontrast 600:1) sowie der hier verbauten WQHD-Anzeige mit 2.560 x 1.440 Bildpunkten (Herstellerangabe: 300 cd/m², Kontrast 700:1 oder 800:1). Beide basieren auf der IPS-Technologie und garantieren damit stabile Blickwinkel, sodass – neben der nominell etwas höheren Maximalhelligkeit – vor allem die stattliche Pixeldichte von 210 ppi für das teurere 1440p-Panel spricht. Tatsächliche punktet unser Proband mit seiner gestochen scharfen Darstellung, die insbesondere bei hochauflösenden Filmen und Fotos zur Geltung kommt. Wer über gute Augen verfügt und dicht vor dem Monitor sitzt, kann sogar darüber nachdenken, auf eine zusätzliche Skalierung zu verzichten: Bei einer Anzeigegröße von 100 Prozent lassen sich locker drei PDF- oder Word-Dokumente nebeneinander anordnen und so die Produktivität ungemein steigern.
Auch in puncto Helligkeit schlägt sich das T460p wacker und strahlt mit maximal 280 cd/m², die sich sehr gleichmäßig über die gesamte Bildfläche verteilen – etwas weniger als vom Hersteller versprochen, im Alltag aber dennoch vollkommen ausreichend. Leider wird die Anzeige wie schon beim T460s mittels PWM (220 Hz) gedimmt, was von sehr empfindlichen Augen als leichtes Flackern wahrgenommen wird. In diesem Fall bleibt nur der Ausweg: zum Full-HD-Modell ohne PWM-Regelung zu greifen. Der Schwarzwert liegt bei sehr ordentlichen 0,31 cd/m², woraus sich ein IPS-typisch hohes Kontrastverhältnis von 935:1 errechnet.
Bildschirm-Flackern / PWM (Pulse-Width Modulation)
| Flackern / PWM festgestellt | 220 Hz | ||
Das Display flackert mit 220 Hz (im schlimmsten Fall, eventuell durch Pulsweitenmodulation PWM) . Die Frequenz von 220 Hz ist relativ gering und daher sollte es bei sensiblen Personen zu Problemen wie Flackern oder Augenbeschwerden führen. Im Vergleich: 52 % aller getesteten Geräte nutzten kein PWM um die Helligkeit zu reduzieren. Wenn PWM eingesetzt wurde, dann bei einer Frequenz von durchschnittlich 7867 (Minimum 5, Maximum 343500) Hz. | |||
| |||||||||||||||||||||||||
Ausleuchtung: 93 %
Helligkeit Akku: 290 cd/m²
Kontrast: 935:1 (Schwarzwert: 0.31 cd/m²)
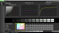
ΔE ColorChecker Calman: 3.88 | ∀{0.5-29.43 Ø4.74}
ΔE Greyscale Calman: 5.47 | ∀{0.09-98 Ø4.98}
96.64% sRGB (Argyll 1.6.3 3D)
63.3% AdobeRGB 1998 (Argyll 1.6.3 3D)
68.8% AdobeRGB 1998 (Argyll 3D)
96.5% sRGB (Argyll 3D)
66.9% Display P3 (Argyll 3D)
Gamma: 2.33
CCT: 6469 K
| Lenovo ThinkPad T460p-20FXS05500 2560 x 1440 IPS-Panel | Lenovo ThinkPad T460p-20FW000DGE 1920 x 1080 IPS-Panel | Lenovo ThinkPad T460s-20FA003GGE 2560 x 1440 IPS-Panel | HP EliteBook 840 G3 T9X59ET#ABD 1920 x 1080 TN-Panel | Dell Latitude 14 7000 Series E7470 2560 x 1440 IPS-Panel | |
|---|---|---|---|---|---|
| Display | -41% | 2% | -26% | 0% | |
| Display P3 Coverage (%) | 66.9 | 38.78 -42% | 68.7 3% | 48.93 -27% | 67.2 0% |
| sRGB Coverage (%) | 96.5 | 58.3 -40% | 98.1 2% | 73.7 -24% | 95.9 -1% |
| AdobeRGB 1998 Coverage (%) | 68.8 | 40.08 -42% | 70.4 2% | 50.5 -27% | 69.3 1% |
| Response Times | 10% | -6% | -7% | -17% | |
| Response Time Grey 50% / Grey 80% * (ms) | 38.4 ? | 30.8 ? 20% | 35.6 ? 7% | 43 ? -12% | 48 ? -25% |
| Response Time Black / White * (ms) | 24.8 ? | 24.8 ? -0% | 29.2 ? -18% | 25 ? -1% | 27 ? -9% |
| PWM Frequency (Hz) | 220 | 220 ? | 204 ? | ||
| Bildschirm | -3% | -5% | -48% | 17% | |
| Helligkeit Bildmitte (cd/m²) | 290 | 269 -7% | 257 -11% | 366 26% | 380 31% |
| Brightness (cd/m²) | 280 | 255 -9% | 248 -11% | 336 20% | 354 26% |
| Brightness Distribution (%) | 93 | 91 -2% | 94 1% | 87 -6% | 81 -13% |
| Schwarzwert * (cd/m²) | 0.31 | 0.24 23% | 0.26 16% | 0.65 -110% | 0.26 16% |
| Kontrast (:1) | 935 | 1121 20% | 988 6% | 563 -40% | 1462 56% |
| Delta E Colorchecker * | 3.88 | 4.27 -10% | 4.59 -18% | 10.26 -164% | 3.11 20% |
| Colorchecker dE 2000 max. * | 8.19 | 8.82 -8% | 9.72 -19% | 6.73 18% | |
| Delta E Graustufen * | 5.47 | 2.95 46% | 6.38 -17% | 11.51 -110% | 4.35 20% |
| Gamma | 2.33 94% | 2.12 104% | 2.51 88% | 2.4 92% | 2.37 93% |
| CCT | 6469 100% | 7049 92% | 6238 104% | 12725 51% | 6771 96% |
| Farbraum (Prozent von AdobeRGB 1998) (%) | 63.3 | 37 -42% | 65 3% | 47 -26% | 62 -2% |
| Color Space (Percent of sRGB) (%) | 96.64 | 58.2 -40% | 98 1% | 74 -23% | 96 -1% |
| Durchschnitt gesamt (Programm / Settings) | -11% /
-9% | -3% /
-4% | -27% /
-37% | 0% /
9% |
* ... kleinere Werte sind besser
Trotz vergleichsweise geringer DeltaE-Abweichungen konnten wir dem T460p in unserem ersten Test keine Eignung für Fotografen und Grafiker bescheinigen. Der Grund: Mit lediglich 58 Prozent sRGB-Abdeckung fällt der Farbumfang des Full-HD-Modells schlicht zu klein aus. Das WQHD-Panel steht diesbezüglich weitaus besser da und erfüllt den sRGB-Standard nahezu perfekt (96,6 Prozent), die anspruchsvollere AdobeRGB-Vorgabe wird immerhin zu 63,3 Prozent abgedeckt. In Verbindung mit der extrem präzisen Farb- und Graustufenwiedergabe – nach erfolgter Kalibrierung liegen sämtliche Messpunkte bei einem DeltaE von 2,0 oder darunter – dürfte das ThinkPad damit auch die Bedürfnisse (semi-)professioneller Anwender befriedigen.
Dank der auch im Akkubetrieb erreichbaren Maximalhelligkeit von 280 cd/m² sowie einer vollständig entspiegelten Displayoberfläche kann mit dem T460p bedenkenlos unter freiem Himmel gearbeitet werden. Lediglich bei strahlendem Sonnenschein empfiehlt es sich, das Gerät möglichst nicht frontal zur Lichtquelle aufzustellen oder besser gleich ein schattigeres Plätzchen aufzusuchen.
Außeneinsatz (Bewölkung)
Reaktionszeiten (Response Times) des Displays
| ↔ Reaktionszeiten Schwarz zu Weiß | ||
|---|---|---|
| 24.8 ms ... steigend ↗ und fallend ↘ kombiniert | ↗ 10.8 ms steigend | |
| ↘ 14 ms fallend | ||
| Die gemessenen Reaktionszeiten sind gut, für anspruchsvolle Spieler könnten der Bildschirm jedoch zu langsam sein. Im Vergleich rangierten die bei uns getesteten Geräte von 0.1 (Minimum) zu 240 (Maximum) ms. » 58 % aller Screens waren schneller als der getestete. Daher sind die gemessenen Reaktionszeiten schlechter als der Durchschnitt aller vermessenen Geräte (19.9 ms). | ||
| ↔ Reaktionszeiten 50% Grau zu 80% Grau | ||
| 38.4 ms ... steigend ↗ und fallend ↘ kombiniert | ↗ 14.8 ms steigend | |
| ↘ 23.6 ms fallend | ||
| Die gemessenen Reaktionszeiten sind langsam und dadurch für viele Spieler wahrscheinlich zu langsam. Im Vergleich rangierten die bei uns getesteten Geräte von 0.165 (Minimum) zu 636 (Maximum) ms. » 57 % aller Screens waren schneller als der getestete. Daher sind die gemessenen Reaktionszeiten schlechter als der Durchschnitt aller vermessenen Geräte (31.2 ms). | ||
Egal ob von oben, unten oder seitlich: Die Anzeige des ThinkPads lässt sich aus nahezu jeder Perspektive betrachten, ohne dass störende Farbverfälschungen oder Gammaveränderungen die Lesbarkeit beeinträchtigen. Einzig das Kontrastverhältnis fällt bei extrem großen Winkeln sukzessive ab, was jedoch auch für ein hochwertiges IPS-Panel vollkommen normal ist. Im Vergleich mit dem Full-HD-Modell können wir keine signifikanten Unterschiede ausmachen; beide sind ohne Einschränkungen für den Mehrnutzerbetrieb geeignet.
Leistung
Neben dem Dell Latitude E5470 stellt das ThinkPad T460p das einzige aktuelle Business Notebook im 14-Zoll-Format dar, welches mit leistungsstarken Quad-Core-CPUs erhältlich ist. Zur Auswahl stehen dabei die Core-i5-Modelle 6300HQ und 6440HQ sowie die i7-Ableger 6700HQ und 6820HQ. Alle vier basieren auf Intels Skylake Architektur und werden in 14-Nanometer-Technik gefertigt.
Mit einer Taktrate von 2,6 bis 3,5 GHz (2 Kerne: 3,3 GHz; 4 Kerne: 3,1 GHz) liegt der Core i7-6700HQ exakt auf dem Niveau des bereits getesteten i5-6440HQ, unterstützt im Gegensatz zu diesem aber zusätzlich Hyper-Threading zur parallelen Bearbeitung von bis zu acht Threads. Sämtliche ULV-Modelle, wie sie beispielsweise im Schwestermodell T460s zu finden sind, bieten dagegen maximal zwei Kerne und vier Threads. Im Gegenzug begnügt sich die U-Serie mit nur 15 Watt TDP, während die Quad-Core-Boliden satte 45 Watt verbraten dürfen; dieser Wert kann vom Notebook-Hersteller allerdings (innerhalb gewisser Grenzen) angepasst werden.
| Core i5-6200U | Core i7-6600U | Core i5-6440HQ | Core i7-6700HQ | |
|---|---|---|---|---|
Kerne/Threads |
2/4 | 2/4 | 4/8 | 4/8 |
Basistakt |
2,3 GHz | 2,6 GHz | 2,6 GHz | 2,6 GHz |
1-Kern-Turbo |
2,8 GHz | 3,4 GHz | 3,5 GHz | 3,5 GHz |
Volllast-Turbo |
2,7 GHz | 3,2 GHz | 3,1 GHz | 3,1 GHz |
L3-Cache/eDRAM |
3 MB | 4 MB | 6 MB | 6 MB |
Grafikeinheit |
HD 520 (1,0 GHz) | HD 520 (1,05 GHz) | HD 530 (0,95 GHz) | HD 530 (1,05 GHz) |
TDP |
15 W | 15 W | 45 W | 45 W |
Zusätzlich zur integrierten HD Graphics 530 (24 EUs, 350-1.050 MHz) steckt in unserem Testgerät noch eine dedizierte Nvidia GeForce 940MX, die mittels Optimus automatisch in 3D-Anwendungen aktiviert wird. Obwohl der Name eine höhere Performance suggeriert, beschränken sich Unterschiede zum Vorgängermodell GeForce 940M auf einen minimal Anstieg der Basisfrequenz auf nunmehr 1.122 MHz (940M: 1.072 MHz). Boost- (1.176 MHz) und Speichertakt (1.000 MHz DDR3) bleiben dagegen unverändert, ebenso die technischen Daten des zugrundeliegenden GM108-Chips (384 Shader, 64-Bit-Interface).
Die Speicherausstattung umfasst in diesem Fall 8 GB RAM, genauer gesagt ein 8-GB-Modul im DDR4-2133-Standard. Ein zweiter Slot erleichtert mögliche Aufrüstpläne, wenngleich der Arbeitsspeicher so nur im Single-Channel-Betrieb arbeitet. Da sich dies jedoch fast ausschließlich auf die Leistung der Prozessorgrafik auswirkt, sehen wir darin keinen Nachteil. Als Massenspeicher dient eine SATA-SSD im 2,5-Zoll-Format.
Prozessor
Beginnen wir dieses Kaptitel mit einer wichtigen Anmerkung beziehungsweise Korrektur: Entgegen der Herstellervorgabe von 45 Watt hat Lenovo das T460p so konfiguriert, dass der Prozessor dauerhaft nur maximal 35 Watt aufnehmen darf – mutmaßlich, um die Kühlung nicht zu überfordern. Erfreulicherweise arbeitet der Skylake Prozessor jedoch so effizient, dass selbst bei praxisnaher Volllast auf allen vier Kernen die maximale Turbo-Boost-Stufe von 3,1 GHz gehalten wird. Im Cinebench R15 Multi vermelden die integrierten Sensoren dabei exakt 35 Watt CPU-Leistungsaufnahme. Als gänzlich unkritisch erweist sich das TDP-Limit im Single-Threading-Test, wo bereits knapp 15 Watt für die vollen 3,5 GHz ausreichen. Abseits synthetischer Auslastungs-Tools wie Prime95 sowie paralleler Belastung von CPU-Kernen und Prozessorgrafik (relevant nur für Konfigurationen ohne GeForce GPU) stellt diese Design-Entscheidung somit kein Problem dar.
Dank dem im Netz- und Akkubetrieb perfekt ausgereizten Turbo-Boost-Spielraumes erreicht die CPU stets ihr volles Leistungspotential. In gut parallelisierter Software distanziert der Core i7-6700HQ den i5-6440HQ um 25 bis 30 Prozent und rechnet damit fast doppelt so schnell wie das ULV-Topmodell Core i7-6600U. Kann die jeweilige Anwendung dagegen nur ein oder zwei Kerne auslasten, liegen alle drei auf praktisch gleichem Niveau. Wer bei seiner Kaufentscheidung zwischen dem ThinkPad T460s und T460p schwankt, sollte dies unbedingt berücksichtigen.
| X264 HD Benchmark 4.0 | |
| Pass 1 | |
| Lenovo ThinkPad T460p-20FXS05500 | |
| Lenovo ThinkPad T460s-20FA003GGE | |
| Pass 2 | |
| Lenovo ThinkPad T460p-20FXS05500 | |
| Lenovo ThinkPad T460s-20FA003GGE | |
Massenspeicher
Angesichts satter 512 GB SSD-Speicher kann man als Anwender leicht verschmerzen, dass das T460p keinen zweiten 2,5-Zoll-Schacht für den Einbau einer zusätzlichen HDD besitzt. Immerhin hält der 14-Zöller einen freien M.2-2242-Slot bereit, der entweder ein LTE-Modul (Antennen vorverlegt) oder aber eine weitere SSD (SATA 6Gb/s) aufnimmt. Entsprechende Laufwerke sind derzeit allerdings nur in sehr begrenzter Auswahl am Markt erhältlich.
Bei der vom Hersteller verbauten SSD handelt es sich um eine Samsung PM871 (MZ7LN512HCHP), ein OEM-Modell der gehobenen Mittelklasse. Technisch dürfte diese stark der auch im Einzelhandel erhältlichen 850 Evo ähneln, die gemeinhin für ihre hohe Performance und Zuverlässigkeit bekannt ist. Zumindest ersteres können wir nach unseren Messungen uneingeschränkt bestätigen: Lese- und Schreibraten um 500 MB/s sind für eine herkömmliche SATA-SSD exzellent, aber auch die Ergebnisse der 4K- und 4K64-Messungen überzeugen.
Nochmals höhere Übertragungsgeschwindigkeiten versprechen Konfigurationen mit SATA-Express-SSD, die von Lenovo im Datenblatt erwähnt werden. Dank PCIe-3.0-x2-Schnittstelle wären hierüber theoretisch maximale sequentielle Datenraten von fast 2 GB/s möglich.
| Lenovo ThinkPad T460p-20FXS05500 Samsung SSD PM871 MZ7LN512HCHP | Lenovo ThinkPad T460s-20FA003GGE Samsung SSD SM951a 512GB M.2 PCIe 3.0 x4 NVMe (MZVKV512) | Lenovo ThinkPad T460s-20F9003SGE Samsung CM871 MZ7LF192HCGS | HP EliteBook 840 G3 T9X59ET#ABD Samsung SSD PM851 256 GB MZNTE256HMHP | Dell Latitude 14 7000 Series E7470 Samsung SSD PM851 M.2 2280 256GB | |
|---|---|---|---|---|---|
| AS SSD | 168% | -55% | -12% | -6% | |
| Seq Read (MB/s) | 510 | 2039 300% | 471 -8% | 505 -1% | 495.5 -3% |
| Seq Write (MB/s) | 448.3 | 1407 214% | 163.3 -64% | 231.6 -48% | 283.7 -37% |
| 4K Read (MB/s) | 23.3 | 45.41 95% | 14.18 -39% | 25.24 8% | 30.91 33% |
| 4K Write (MB/s) | 74 | 114.4 55% | 34.38 -54% | 72.4 -2% | 85.1 15% |
| 4K-64 Read (MB/s) | 338 | 968 186% | 85.4 -75% | 362 7% | 336.1 -1% |
| 4K-64 Write (MB/s) | 286.8 | 366 28% | 33.4 -88% | 190.6 -34% | 170 -41% |
| Copy ISO MB/s (MB/s) | 285 | 1135 298% | 119.9 -58% |
System Performance
Die wohl spannendste Frage für viele Kaufinteressenten dürfte sein, inwieweit man die Power des Quad-Core-Prozessors auch im Alltag spüren kann. Unser Urteil: praktisch gar nicht – auch mit nur zwei Kernen samt Hyper-Threading laufen Browser, PDF-Reader und Office-Anwendungen genauso flüssig. Für ein spontanes Ansprechverhalten braucht es (neben einer SSD) vielmehr eine möglichst hohe Rechenleistung pro Kern, die aber auch die sparsamen ULV-Chips bieten. Dennoch gibt es gute Gründe, statt eines T460(s) das deutlich schwerere und dickere T460p zu wählen: Ausgiebiges Multitasking oder aufwändige Simulationsprogramme bringen eine Dual-Core-CPU einfach viel schneller an ihre Grenzen als die potenten Quad-Core-Boliden.
Im synthetischen PCMark spiegelt sich dies nur bedingt wieder, sodass sich das T460p hier kaum von seiner zweikernigen Konkurrenz absetzen kann.
| PCMark 7 - Score | |
| Lenovo ThinkPad T460p-20FXS05500 | |
| Dell Latitude 14 7000 Series E7470 | |
| Lenovo ThinkPad T460s-20FA003GGE | |
| Lenovo ThinkPad T460p | |
| PCMark 7 Score | 5585 Punkte | |
| PCMark 8 Home Score Accelerated v2 | 3292 Punkte | |
| PCMark 8 Creative Score Accelerated v2 | 4241 Punkte | |
| PCMark 8 Work Score Accelerated v2 | 4463 Punkte | |
Hilfe | ||
Grafikkarte
Wie angesichts der nahezu identischen Eckdaten bereits zu erwarten war, stellt die GeForce 940MX kein wirkliches Upgrade gegenüber der bisherigen GeForce 940M dar. Die marginale Mehrleistung resultiert in erster Linie aus zwischenzeitlichen Treiberverbesserungen, von denen aber auch das ältere Modell profitieren würde. Mit Blick auf das T450s sei zusätzlich erwähnt, dass die 940M dort etwas unterhalb der Referenztaktraten des Herstellers läuft.
Nichtsdestotrotz übertrumpft die 940MX die integrierte HD Graphics 530 je nach Speicherkonfiguration etwa um Faktor zwei – oder anschaulich gesagt: 3D-Berechnungen, die die GeForce in Full-HD-Auflösung meistert, würden auf der Intel GPU nur im WXGA-Setting flüssig laufen. Gleichwohl sollte man sich immer bewusst sein, dass auch die GeForce 940MX nur der unteren Mittelklasse zuzuordnen und damit keinesfalls für anspruchsvollste 3D-Aufgaben geeignet ist. Erfreulicherweise wir die Grafikkarte im Akkubetrieb nicht künstlich eingebremst.
| 3DMark 06 Standard Score | 14195 Punkte | |
| 3DMark 11 Performance | 2805 Punkte | |
| 3DMark Ice Storm Standard Score | 41687 Punkte | |
| 3DMark Cloud Gate Standard Score | 8503 Punkte | |
| 3DMark Fire Strike Score | 1537 Punkte | |
Hilfe | ||
Gaming Performance
Im Gegensatz zur HD Graphics 530 erlaubt es die GeForce 940MX, aktuelle 3D-Kracher wie Fallout 4 oder Rise of the Tomb Raider mit akzeptablen Frame-Raten um 30 fps darzustellen. Dafür muss sich der Anwender jedoch auf niedrigste Auflösungen und Grafikeinstellungen beschränken. Wer ältere oder weniger aufwändige Titel à la Fifa 16, Sims 4 oder Counter Strike: Global Offensive bevorzugt, kann gelegentlich aber auch höhere Settings und 1.920 x 1.080 Pixel auswählen. Für die native Displayauflösung von 2.560 x 1.440 Bildpunkten ist die Grafikkarte allerdings selbst in diesen Spielen viel zu langsam.
| Tomb Raider | |
| 1024x768 Low Preset | |
| Lenovo ThinkPad T460p-20FXS05500 | |
| Lenovo ThinkPad T450s-20BWS1UT00 | |
| Lenovo ThinkPad T460s-20FA003GGE | |
| Lenovo ThinkPad T460p | |
| 1366x768 Normal Preset AA:FX AF:4x | |
| Lenovo ThinkPad T460p-20FXS05500 | |
| Lenovo ThinkPad T450s-20BWS1UT00 | |
| Lenovo ThinkPad T460s-20FA003GGE | |
| Lenovo ThinkPad T460p | |
| 1366x768 High Preset AA:FX AF:8x | |
| Lenovo ThinkPad T460p-20FXS05500 | |
| Lenovo ThinkPad T450s-20BWS1UT00 | |
| Lenovo ThinkPad T460s-20FA003GGE | |
| Lenovo ThinkPad T460p | |
| min. | mittel | hoch | max. | |
|---|---|---|---|---|
| Diablo III (2012) | 125.6 | 103 | 83.4 | 50.6 |
| Counter-Strike: GO (2012) | 182 | 156.8 | 107.2 | 57.9 |
| Crysis 3 (2013) | 44.3 | 26.1 | 19.6 | 7.3 |
| Tomb Raider (2013) | 141.2 | 68.4 | 37.4 | 18.5 |
| BioShock Infinite (2013) | 98.7 | 55.7 | 44.8 | 15.5 |
| Metro: Last Light (2013) | 52.5 | 39.8 | 24 | 12 |
| Battlefield 4 (2013) | 67.9 | 47 | 31.7 | 12.1 |
| Thief (2014) | 37.5 | 24.8 | 20 | 9.9 |
| Sims 4 (2014) | 173.4 | 68.7 | 38 | 29 |
| Dirt Rally (2015) | 145.4 | 57.3 | 29.7 | 13 |
| FIFA 16 (2015) | 126.8 | 68.6 | 43.5 | |
| Fallout 4 (2015) | 36.5 | 22.9 | 12.3 | |
| Rise of the Tomb Raider (2016) | 29.1 | 18.7 | 11.3 |
Emissionen
Geräuschemissionen
Nachdem bereits das T460p mit Core-i5-CPU und integrierter Grafik nicht gerade dezent zu Werke ging, schwante uns für die vollausgestattete Top-Konfiguration Böses – doch weit gefehlt: Dank einer zweiten Heatpipe bleibt unser neues Modell mit 33,5 bis 38,8 dB(A) unter Last sogar ein wenig leiser als zuvor. Auch im Leerlauf geht der Geräuschpegel deutlich auf nunmehr 29,2 dB(A) zurück; dies hängt allerdings nicht mit einer geringeren Lüfterdrehzahl, sondern vielmehr dem Tausch der HDD gegen eine prinzipbedingt lautlose SSD zusammen. Bei ruhendem Desktop wird das Notebook generell passiv gekühlt, allerdings springt der Lüfter schon bei leichter Belastung vergleichsweise schnell an. Da die untersten Drehzahlstufen nur aus sehr geringer Entfernung zu hören sind, stört dies im Alltag aber kaum.
| Lenovo ThinkPad T460p-20FXS05500 6700HQ, GeForce 940MX | Lenovo ThinkPad T460p-20FW000DGE 6440HQ, HD Graphics 530 | Lenovo ThinkPad T460s-20F9003SGE 6200U, HD Graphics 520 | Lenovo ThinkPad T460s-20FA003GGE 6600U, HD Graphics 520 | Dell Latitude 14 7000 Series E7470 6600U, HD Graphics 520 | |
|---|---|---|---|---|---|
| Geräuschentwicklung | -11% | 2% | 0% | -1% | |
| aus / Umgebung * (dB) | 29.2 | 30 -3% | 29.1 -0% | 29.2 -0% | 31.2 -7% |
| Idle min * (dB) | 29.2 | 33.7 -15% | 29.1 -0% | 29.2 -0% | 31.2 -7% |
| Idle avg * (dB) | 29.2 | 33.7 -15% | 29.1 -0% | 29.2 -0% | 31.2 -7% |
| Idle max * (dB) | 29.2 | 33.7 -15% | 29.1 -0% | 29.2 -0% | 31.2 -7% |
| Last avg * (dB) | 33.5 | 36.2 -8% | 32.3 4% | 33.7 -1% | 31.9 5% |
| Last max * (dB) | 38.8 | 41.9 -8% | 36.6 6% | 38.5 1% | 31.9 18% |
* ... kleinere Werte sind besser
Lautstärkediagramm
| Idle |
| 29.2 / 29.2 / 29.2 dB(A) |
| Last |
| 33.5 / 38.8 dB(A) |
![]() | ||
30 dB leise 40 dB(A) deutlich hörbar 50 dB(A) störend |
||
min: | ||
Temperatur
Leider erkauft Lenovo die erfreulich niedrige Geräuschentwicklung mit ausgesprochen hohen Temperaturen – jedenfalls unter Volllast. Nach unserem einstündigen Stresstest messen wir am Gehäuse großflächig Werte über 40 °C, in der Nähe des Luftauslasses sogar deutlich mehr als 50 °C. Auch wenn die Belastung mit Prime95 und FurMark ein eher praxisfernes Worst-Case-Szenario darstellt, ist dies doch eindeutig zu viel; Reserven für verstaubte Lüfter oder hochsommerliche Umgebungsbedingungen bietet das T460p folglich kaum.
Im Inneren des Notebooks geraten Prozessor und Grafikkarte ebenfalls gehörig ins Schwitzen und vermelden Kerntemperaturen von bis zu 89 (GPU) respektive 98 °C (CPU). Der Core i7 zeigt dabei bereits leichtes Throttling, wenngleich der Basistakt nur minimal unterschritten wird: Einzelne Kerne fallen zeitweilig auf 2,4 bis 2,5 GHz ab, während die Grafikkarte stabil die maximalen 1.176 MHz hält. In den von uns getesteten, praxisnahen Anwendungen und Spielen hat das ThinkPad zwar nicht mit Taktabfällen zu kämpfen, wird aber ebenfalls sehr warm und scheint der entstehenden Abwärme nur bedingt gewachsen zu sein.
(-) Die maximale Temperatur auf der Oberseite ist 51.6 °C. Im Vergleich liegt der Klassendurchschnitt bei 34.3 °C (von 21.2 bis 62.5 °C für die Klasse Office).
(-) Auf der Unterseite messen wir eine maximalen Wert von 55.2 °C (im Vergleich zum Durchschnitt von 36.8 °C).
(+) Ohne Last messen wir eine durchschnittliche Temperatur von 29.6 °C auf der Oberseite. Der Klassendurchschnitt erreicht 29.5 °C.
(-) Die Handballen und der Touchpad-Bereich können sehr heiß werden mit maximal 41.1 °C.
(-) Die durchschnittliche Handballen-Temperatur anderer getesteter Geräte war 27.5 °C (-13.6 °C).
Lautsprecher
Über die Qualität der integrierten Stereo-Lautsprecher haben wir uns bereits im vergangenen Testbericht ausführlich geäußert – zusammenfassend lässt sich konstatieren, dass die Boxen für ein Office Notebook durchaus ansprechend aufspielen und mit ordentlicher Maximallautstärke, klaren Höhen und kräftigen Mitten überzeugen. Einzig im Bassbereich sollte der Anwender mangels Subwoofer nicht allzu viel Nachdruck erwarten. Abhilfe schafft ein externes Soundsystem via 3,5-Millimeter-Buchse oder HDMI/DisplayPort.
Energieverwaltung
Energieaufnahme
Erstaunlicherweise benötigt das T460p-20FXS05500 mit 5,0-10,8 Watt im Leerlauf nicht mehr Energie als die zuvor getestete Core-i5-Konfiguration (6,3-10,6 Watt) – offenbar kompensieren die sparsame SSD sowie das moderne Windows-10-Betriebssystem (das i5-Modell wurde mit Windows 7 getestet) den Mehrverbrauch des Displays und der stärkeren Hardware-Ausstattung.
Unter Last sind die Differenzen erwartungsgemäß größer: Statt 42,7 bis 66,7 Watt (i5-Modell) ermittelt unser Messgerät 52,4 bis 89,8 Watt (75 Watt bei einsetzendem Throttling). Das beigelegte, äußerst klobige 135-Watt-Netzteil erscheint angesichts dieser Werte reichlich überdimensioniert, erlaubt aber so auch im Volllastbetrieb ein zügiges Laden des Akkus.
| Aus / Standby | |
| Idle | |
| Last |
|
Legende:
min: | |
Akkulaufzeit
Anders als beispielsweise das T460(s) oder X260 verfügt das T460p über nur einen Akku, der 23, 48 oder 72 Wh fasst. Ab Werk kommt in den meisten Fällen das mittlere Modell zum Einsatz, so auch bei unserem Testgerät.
Obwohl die Kapazität in Relation zum Energiebedarf nicht gerade üppig ausfällt, schlägt sich das T460p recht wacker und erzielt je nach Nutzung Laufzeiten zwischen einer und 11 Stunden. Im Alltag kann der Anwender mit etwa 5 bis 6 Stunden kalkulieren (150 cd/m² Displayhelligkeit, WLAN-Browsing oder Videowiedergabe). Rechnet man diese Werte auf den optionalen 72-Wh-Akku hoch, sollte das T460p problemlos die Ausdauer des T440p mit 100-Wh-Speicher erreichen können. Interessante Randnotiz: Trotz ULV-Plattform hält das ultramobile T460s abseits der Steckdose nur unwesentlich länger durch.
| Lenovo ThinkPad T460p-20FXS05500 48 Wh | Lenovo ThinkPad T460p-20FW000DGE 48 Wh | Lenovo ThinkPad T440p 20AN-006VGE 100 Wh | Lenovo ThinkPad T460s-20FA003GGE 49 Wh | Dell Latitude 14 7000 Series E7470 55 Wh | |
|---|---|---|---|---|---|
| Akkulaufzeit | -17% | 59% | 13% | 53% | |
| Idle (h) | 11 | 8.2 -25% | 14.8 35% | 13.9 26% | |
| H.264 (h) | 6 | 4.8 -20% | 8.5 42% | 6.6 10% | |
| WLAN (h) | 5 | 4.4 -12% | 5.7 14% | 5.8 16% | |
| Last (h) | 1 | 0.9 -10% | 2 100% | 1 0% | 1.9 90% |
| WLAN (alt) (h) | 10 |
Fazit
Pro
Contra
Viele Alternativen hat man als Kunde derzeit nicht, wenn man ein kompaktes Office Notebook mit maximaler CPU-Power sucht. Neben dem Dell Latitude E5470 repräsentiert das ThinkPad T460p das einzige aktuelle Modell im 14-Zoll-Segment, welches dank Quad-CPUs auch anspruchsvollste Multi-Thread-Software meistert. Allein das mag für manchen schon der entscheidende Kaufanreiz sein – doch hat das ThinkPad noch viele andere Vorzüge wie ein robustes Chassis, hervorragende Eingabegeräte oder das rundum gelungene IPS-Display zu bieten. Auch die dedizierte GeForce GPU ist ihren Aufpreis zweifellos wert, rechnet diese doch rund doppelt so schnell wie die integrierte Prozessorgrafik. Über kleinere Makel wie die fehlende USB-Typ-C-Buchse, das klobige Netzteil oder die nur durchschnittlichen Akkulaufzeiten mag man da gerne hinwegsehen.
Nicht so einfach beiseite wischen lässt sich dagegen ein anderer Punkt: Mit alternder Wärmeleitpaste und staubigem Lüfter drohen auch abseits synthetischer Stresstest-Tools spürbares Throttling sowie unangenehm warme Gehäuseoberflächen. Man könnte nun argumentieren, dass dieses Problem im Alltag weit weniger präsent ist – doch wer kauft schon ein Gerät wie das T460p, wenn die Leistungsreserven nicht auch einmal abgerufen werden sollen?
CPU-Temperaturen nahe der 100-Grad-Marke lassen erahnen, was den Anwender im Hochsommer erwarten dürfte.
Wer mit den hohen Temperaturen leben kann, darf natürlich dennoch zuschlagen; gegebenenfalls empfiehlt es sich in diesem Fall, mit Programmen wie TPFanControl selbst in die Lüftersteuerung einzugreifen.
Lenovo ThinkPad T460p-20FXS05500
- 18.04.2016 v5.1 (old)
Sebastian Jentsch






























































